Background

CloudHà Tĩnh 23° - 28°C
CloudHà Tĩnh 23° - 28°C
Thông báo lịch tiếp công dân định kỳ tháng 4 năm 2025Thông báo về việc gia hạn thời gian đăng ký tham gia các Lớp bồi dưỡng kiến thức, kỹ năng xử lý các vấn đề pháp lý trong đàm phán, thực hiện điều ước quốc tế, thoả thuận quốc tế và giải quyết tranh chấp đầu tư quốc tế năm 2025Thông báo về việc gia hạn thời gian đăng ký Lớp bồi dưỡng nghiệp vụ Luật sưThông báo về việc triển khai thực hiện ấn phẩm "Thanh niên với pháp luật trong kỷ nguyên mới"Thông báo Chương trình Chuyên gia trẻ WTO (Young Professional Programme)Thông báo Khóa học nâng cao về Chính sách thương mại của WTO năm 2025 (trình độ 3)Học viện Tư pháp thông báo gia hạn thời gian đăng ký tham gia Lớp bồi dưỡng nghiệp vụ công chứngThông báo nghỉ lễ Giỗ tổ Hùng Vương, ngày Chiến thắng 30/4 và ngày Quốc tế Lao động 01/5 năm 2025Thông báo nghỉ Tết Nguyên Đán Bính Ngọ 2026 bắt đầu từ thứ hai ngày 16/2/2026 (tức ngày 29 tháng Chạp năm Ất Tỵ) đến hết thứ sáu, ngày 20/2/2026 (tức ngày mùng 4 tháng Giêng năm Bính Ngọ)THÔNG BÁO TIẾP CÔNG DÂN ĐỊNH KỲThông tin lãnh đạo cơ quan tiếp nhận, xử lý phản ánh, kiến nghị về quy định hành chínhThông báo tiếp công dân của Chủ tịch UBND tỉnhTHÔNG BÁO TIẾP CÔNG DÂN THÁNG 8THÔNG BÁO Của Thường trực Hội đồng nhân dân xã về việc triệu tập Kỳ họp thứ 02 (Kỳ họp thường lệ giữa năm 2025), Hội đồng nhân dân xã Tiên Điền, Khoá IVề việc chậm chi trả trợ cấp Bảo trợ xã hội và trợ cấp hưu trí xã hội tháng 8 năm 2025THÔNG BÁO THAY ĐỔI TIẾP CÔNG DÂN THÁNG 9Thông báo lịch tiếp công dân định kỳ tháng 4 năm 2025Thông báo về việc gia hạn thời gian đăng ký tham gia các Lớp bồi dưỡng kiến thức, kỹ năng xử lý các vấn đề pháp lý trong đàm phán, thực hiện điều ước quốc tế, thoả thuận quốc tế và giải quyết tranh chấp đầu tư quốc tế năm 2025Thông báo về việc gia hạn thời gian đăng ký Lớp bồi dưỡng nghiệp vụ Luật sưThông báo về việc triển khai thực hiện ấn phẩm "Thanh niên với pháp luật trong kỷ nguyên mới"Thông báo Chương trình Chuyên gia trẻ WTO (Young Professional Programme)Thông báo Khóa học nâng cao về Chính sách thương mại của WTO năm 2025 (trình độ 3)Học viện Tư pháp thông báo gia hạn thời gian đăng ký tham gia Lớp bồi dưỡng nghiệp vụ công chứngThông báo nghỉ lễ Giỗ tổ Hùng Vương, ngày Chiến thắng 30/4 và ngày Quốc tế Lao động 01/5 năm 2025Thông báo nghỉ Tết Nguyên Đán Bính Ngọ 2026 bắt đầu từ thứ hai ngày 16/2/2026 (tức ngày 29 tháng Chạp năm Ất Tỵ) đến hết thứ sáu, ngày 20/2/2026 (tức ngày mùng 4 tháng Giêng năm Bính Ngọ)THÔNG BÁO TIẾP CÔNG DÂN ĐỊNH KỲThông tin lãnh đạo cơ quan tiếp nhận, xử lý phản ánh, kiến nghị về quy định hành chínhThông báo tiếp công dân của Chủ tịch UBND tỉnhTHÔNG BÁO TIẾP CÔNG DÂN THÁNG 8THÔNG BÁO Của Thường trực Hội đồng nhân dân xã về việc triệu tập Kỳ họp thứ 02 (Kỳ họp thường lệ giữa năm 2025), Hội đồng nhân dân xã Tiên Điền, Khoá IVề việc chậm chi trả trợ cấp Bảo trợ xã hội và trợ cấp hưu trí xã hội tháng 8 năm 2025THÔNG BÁO THAY ĐỔI TIẾP CÔNG DÂN THÁNG 9Thông báo lịch tiếp công dân định kỳ tháng 4 năm 2025Thông báo về việc gia hạn thời gian đăng ký tham gia các Lớp bồi dưỡng kiến thức, kỹ năng xử lý các vấn đề pháp lý trong đàm phán, thực hiện điều ước quốc tế, thoả thuận quốc tế và giải quyết tranh chấp đầu tư quốc tế năm 2025Thông báo về việc gia hạn thời gian đăng ký Lớp bồi dưỡng nghiệp vụ Luật sưThông báo về việc triển khai thực hiện ấn phẩm "Thanh niên với pháp luật trong kỷ nguyên mới"Thông báo Chương trình Chuyên gia trẻ WTO (Young Professional Programme)Thông báo Khóa học nâng cao về Chính sách thương mại của WTO năm 2025 (trình độ 3)Học viện Tư pháp thông báo gia hạn thời gian đăng ký tham gia Lớp bồi dưỡng nghiệp vụ công chứngThông báo nghỉ lễ Giỗ tổ Hùng Vương, ngày Chiến thắng 30/4 và ngày Quốc tế Lao động 01/5 năm 2025Thông báo nghỉ Tết Nguyên Đán Bính Ngọ 2026 bắt đầu từ thứ hai ngày 16/2/2026 (tức ngày 29 tháng Chạp năm Ất Tỵ) đến hết thứ sáu, ngày 20/2/2026 (tức ngày mùng 4 tháng Giêng năm Bính Ngọ)THÔNG BÁO TIẾP CÔNG DÂN ĐỊNH KỲThông tin lãnh đạo cơ quan tiếp nhận, xử lý phản ánh, kiến nghị về quy định hành chínhThông báo tiếp công dân của Chủ tịch UBND tỉnhTHÔNG BÁO TIẾP CÔNG DÂN THÁNG 8THÔNG BÁO Của Thường trực Hội đồng nhân dân xã về việc triệu tập Kỳ họp thứ 02 (Kỳ họp thường lệ giữa năm 2025), Hội đồng nhân dân xã Tiên Điền, Khoá IVề việc chậm chi trả trợ cấp Bảo trợ xã hội và trợ cấp hưu trí xã hội tháng 8 năm 2025THÔNG BÁO THAY ĐỔI TIẾP CÔNG DÂN THÁNG 9

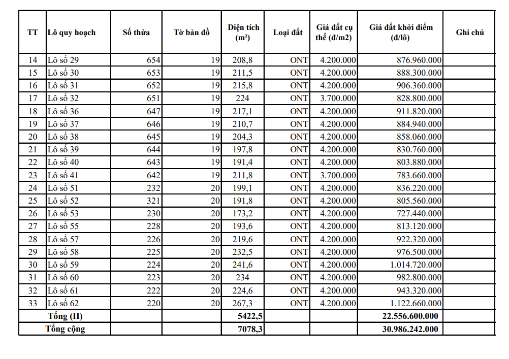
Phê duyệt điều chỉnh giá đất cụ thể và giá khởi điểm đấu giá QSD đất tại các vùng quy hoạch dân cư tại thôn Quang Mỹ

admin07/10/2025
admin07/10/2025
Phê duyệt điều chỉnh giá đất cụ thể và giá khởi điểm đấu giá QSD đất tại các vùng quy hoạch dân cư tại thôn Quang Mỹ

binh-luan

chua-co-binh-luan-nao